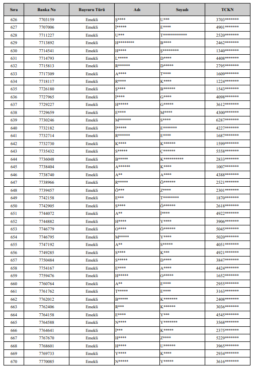
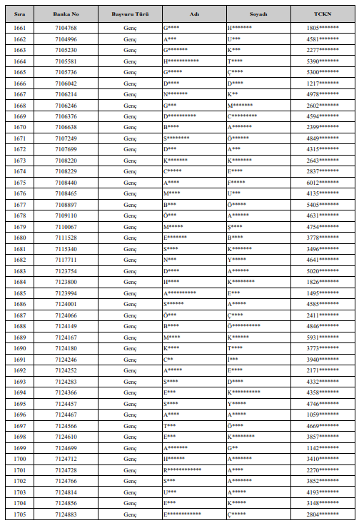
13 Şubat 2026 Cuma günü saat 10.30’da, Kocaeli Büyükşehir Belediyesi Kongre Merkezi Akçakoca Oditoryum Salonu’nda gerçekleştirilecek kura çekimi öncesinde, başvurusu değerlendirilen adaylara ilişkin liste netleşti.
BAŞVURUSU REDDEDİLENLERİN TAM LİSTESİ
Kocaeli Merkez (Başiskele, İzmit, Kartepe) Sosyal Konut Projesi kapsamında yapılan başvuruların incelenmesi sonucunda, şartları taşımadığı tespit edilen ve başvurusu reddedilen vatandaşların tam listesi aşağıda yer almaktadır.

























































































































LİSTENİN TAMAMINA ULAŞMAK İÇİN TIKLAYINIZ
Başvuru sonuçlarına ilişkin itiraz süreçleri ve değerlendirme kriterlerine dair detayların TOKİ tarafından ayrıca duyurulması bekleniyor.





